Единая тема обсуждения наземной техники СССР (часть 4)

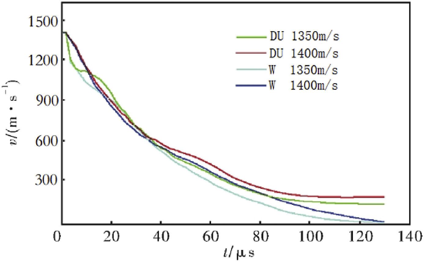
Тут результаты прототипов боеприпасов в тех же размерах, тот же урановый ломик м829 пробивает лучше, чем такой же вольфрамовый, плотность у первого 18,8, у второго 18,2. Скорости слегка различаются.

И как я помню, при таких давлениях, твердость материала, роли почти не играет.

Вольфрам при попадании в броню «грибообразно» деформируется, теряя пробивную способность. Уран обладает свойством «самозатачивания» (адиабатический сдвиг), что позволяет ему проникать глубже, несмотря на меньшую твердость самого металла по сравнению с вольфрамовыми сплавами.

Характеристика

Уран Вольфрам
Тип поведения Вязкий, ковкий Хрупкий (при 20°C)
Сопротивление удару Высокое (деформируется) Низкое (склонен к трещинам)
Вязкость разрушения Выше, чем у чистого вольфрама Низкая (требует легирования)
Эффект при деформации Самозатачивание «Грибовидное» сплющивание

1 лайк

Так если у уранового выше плотность, то чему удивляться? Опять же помимо плотности помимо других свойств у спавов.

Это не значит, что любой вольфрамовый сплав лучше любого уранового, но значит, что какие-то вполне могут быть.

“маленькая деталь”

Я не буду рассуждать об этом без источников конкретных. Я склонен доверять формуле Ланса-Одерматта, пока не будет доказано иное.

скорость разная, так как сплав у вольфрама чуть легче, но пороха то одинаковые, так что вольфрам летит чучуть быстрее, но все же пробивает меньше, вот например схожие исследование, боеприпасы одинаковые, но вольфрам менее плотный, отчего скорость у него выше, но результат тот же, уран пробивает то что вольфрам не пробивает, при той же скорости или чуть даже выше:


ссылка

Я советую вам освоить базовое умение дискуссии.

Чтобы “победить”, надо взять аргументы оппонента, изучить их и доказать, что они ошибочны. Так вот, изучите формулу Ланса-Одерматта, почему там именно такое соотношение Вольфрама и Урана.

А дальше на основе других источников обоснуйте, почему там ошибка.


Если вы не принимаете аргументы оппонента во внимание и долбите без их учета, это не дискуссия.

Это и есть абляционный эффект использования ураносодержащих материалов в ОБПС.

Что касаемо пробития - действительно DU пробивает больше, это связано в первую очередь с указанным выше эффектом. Вольфрамовый же теряет часть энергии на растекание в броне, как и идет физическая сработка пенетратора в силу растекания

Данный эффект может быть достигнут и у Вольфрама.

Урановый лом тоже стачивается в процессе пробития.

Да, но с учётом определённых диаметров и скоростей пенетратора.

Не столь активно. Плюс он немного меньше денормализуется в броне, что так же дает бонус к пробитию.

Скорее первостепенно на это влияет непосредственно сплав.

Точно так же.

А это чем доказывается ?

Впервые слышу.

И это тоже.

Побочный эффект от обяционного, снижение площади соприкосновения пенертатора и брони даёт такой эффект. Особенно, если вопрос касается многопреградных структур, а у нас сейчас вся броня такая по сути во лбу.

То есть работа против одного из основных преимуществ NERA, к коим можно отнести и броню всей совоеменной Т-серии отечественных танков.
Т9 пьян

Если кому интересно

http://fofanov.free.fr/Tanks/ARM/apfsds/ammo_r.html

В копилку

Ты ведь знаешь что такое nationstates?

Вообще не важно, речь о конструкционных особенностях ОБПС, картинка к этому. А так - вольфрам юзает Германия, потому что им до сих пор запрещено использовать ураносодержащие материалы в оборонке (если ничего не поменялось)

Тяжело. Прикинь, а если сделать стальной с такой же плотностью, то он ещё больше будет пробивать.
изображение

Если подставлять из пальца высосанные значения, то у тебя и будет получаться ерунда. Плотность обеднённого урана начинается от 19т/м3 как бы. А ты подставляешь 18.2 и ждёшь какого-то вменяемого результата. Проблема не в калькуляторе, а в подставлятеле значений.

Да там куда больше параметров, хотя бы потому что не все боеприпасы известны своими конструкциями, хоть они и цельные сейчас, сколько там на стабилизатор, сколько на наконечник приходится хз

Если я правильно понимаю Ралина то стабилизатор исключается, и лом считается циллиндром без сужения.

Где, в игре?
Ирл то все индивидуально

Yep

Не удивительно. Благо я общался с человеком, который представил информацию по параметрам расчёта бронепробития ОБПС в игре, и видел некоторые цифры еще до ввода их в игру.