Чё,почему кабы дороже урвп, спайсы теперь ещё дороже чем х38 будут?
Оно же летит долго, легко собьют
Для осознания насколько эта идея была глупой стоит просто подумать.
Для примера у нас два самолёта с схожим УРВП вооружением - Hawk 209 (Прем-пакет Индонезийского ударника) и A-10 (веточный Вартог за США).
Что здесь не так?
Всё очень просто, стоимость вылета у них одинаковая и варьируется вокруг 900 ОВ.
А количество ракет не одинаковое: 2 пуска у Hawk и 6 у A-10.
Получается за два фрага на одном ударнике и шесть фрагов у другого у нас стоимость выходит одинаковой.
Решить это можно было-бы оценкой ОВ одного подвеса, а не сразу всего доступного типа вооружения.
Идём далее.
Я понимаю почему в ТРБ у нас работает овер-прайс система ОВ, но по какой причине в ТСБ вылет на ударном джете стоит 500+ОВ?
Условный 10_2 ТСБ сетап позволяет взять ударник лишь один раз, после чего пилоту делать в матче нечего.
ЗРК в то же время имеют кратно меньшее количество ОВ для респавна.
При этом так же стоит учитывать, что если игрок берёт ЗРК, это не значит, что в матче вообще будет вражеская лётка, скорее всего её не будет.
У нас получается картина, что игрок на ЗРК может сделать за матч 1 воздушный фраг, при этом взяв респавн ещё одну ЗРК.
Это выбивает из команды одного игрока, но если бы он был один, игра не подразумевает “игру по ролям” в ТСБ и часто на 11_2 мы видим половину команды на одно-респовых джетах, а остальная часть на ЗРК и матч там заканчивается быстро в сторону того, кто смог занять преимущество или на земле, или на воздухе, но как вариант у вас всегда половина команды выходит после одного сбития из боя.
Подобных дизбаланс можно решить или повышением ОВ для ЗРК в ТСБ, либо снижением ОВ для ударной лётки. (Что-бы условная стоимость техники имела схожую ценность)
Под одну гребёнку ставить GNSS\Лазерные и ТВ бомбы было ошибкой.
ТВ бомба относится к FnF вооружению, а то время как для Лазерного необходим постоянный подсвет, а GNSS вовсе зачастую кидается в слепую по разведке.
Это “допущение” уравнивает подвесы с разной эффективностью к одному знаменателю, что выглядит как просчёт в балансе или как нехватка игрового опыта у человека сделавшего это.
Остальной бред читать не намерен, так как знаю игрока и его “возможности”.)
Грач хуже F-5, я всё ещё помню и осознаю “проблемы навыков” отдельного персонажа.
*Разве что добавлю, что сама система ОВ является аналогом килл-стрика в шутерах, а в таком ключе чем дороже “перк” (читай ударник) тем выше должна быть возможность нанести врагу поражение, я бы вовсе дал возможность не выходя с танка взлетать с самолёта – во всех популярных шутерах так килл-стрик и работает.)
спасибо за хорошо и качественно сделанную тему на волнующую многих проблему в совместных боях)
Я несколько раз перечитал тему и не нашел инфы о стоимость на разных БР. Ведь не будет условный Маврик на 10.7 таким же эффективным как Маврик на 12.7. Или БР уже не будет учитываться? Ну я и не только про контекс Мавриков. Х-29Т на 10.7 и 12.3 они тоже по-другому играется, хотя на 10.7 у тебя 2 Хашки, а на 12.3 6, но и зенитки ведь лучше становятся и им проще перехватывать ракеты.
так там уже разница в носителе
на 10.7 2 х29 на дозвуке
на 12.3 6 х29 на сверхзвуке 4 поколения с топ спо, 4 р73 и 2р77
от этого и цена выше
у самолета больше возможностей
Ладно-ладно. Понял. Хотя к маврам вопросы есть, но да пофиг (я конечно изначально подразумевал с маврами сравнения А-10 Латте и Ф-15Е, но уж понял. (хотя мавры все равно позор на любом самолёте выше 12.0, по моему нафиг никому не нужнному мнению)). Если это реализуют, то уже будет просто снос башки. Да даже если м уберит этот множитель по БР.
А так измение уже давным-давно нужное так что я всецело за.
это уже проблема улитки, котоаря сша не может выдать вооружение приличное
Не согласен с данным концептом. ИМХО, нужно брать множитель от максимально возможной загрузки.
Давайте как-то без исключений? Сначала исключение для КАБов тяжелее 950, потом меньше 500 и так далее. В итоге у нас всё вооружение с исключениями.
Одной из основных проблем текущего метода расчёта является тот факт, что он не учитывает эффективность вооружения. Те же мавры стоят как Х-38. С учётом различий их эффективности это бред.
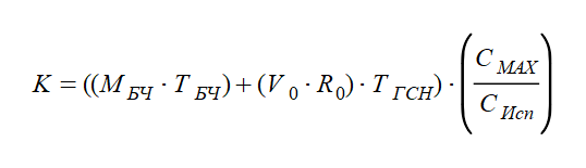
Формула расчёта для УРВП должна быть примерно такой:

V0 это пиковая скорость ракеты при пуске с места
R0 это дальность ракеты при пуске с места
Очень малый прирост в стоимости. По хорошему полный набор Х-38 из 6-ти штук нужно увести за 1000-1200 ОВ.
Пуск с нулей не показатель — тот же хаммер может запросто преодолеть целевые 65км, но для этого ему надо придать ускорение. В то же время с нулей он пролетит может даже меньше, чем агм65, ибо тяжёлый
Как раз показатель. Оценивается чистая эффективность ракеты вне зависимости от носителя.
А у AGM-65 максимальная скорость может быть 1.8М, при условии нужного ускорения.
Вряд ли. У AGM-65 двигатель работает пару секунд, после чего ракета почти сразу сливает скорость до уровня И-16.
при такой системе х29т должна стоить дешевле чем х59 и ПГМ. Что очевидно бред
Прекрасная идея
так это будет достигнуто увеличением цены х59 и пгм
так же х29 будет стоить дешевле многих других возможных полезных УРВП для игры, которые в большинстве своем дозвуковые, но с долгой работы сустейнера и тд
Гении мыслят одинаково.
Чекни формулу.
Для этого нужен множитель пиковой скорости.
Все, мне достаточно
Не пиковой, а средней скорости.
Пару фрагов/разведка - это много? Просто далеко не все считают, что цена высокая, да и я тоже.
Только с набитием на ИК кабы и ИК/ТВ УРВП могут быть проблемы, и то чаще при отказе от разведки.
У нас нет такого вооружения.
Это звучит логично, но кратно переусложнит систему. Это нужно сначала сделать отдельный модификатор для каждого или групп типов вооружения, а потом еще его разделять на 2-3 категории.
Суммарно тогда будет не 9 групп стоимости, а МНОГИЕ ДЕСЯТКИ. Это чрезмерно.
Нет, именно пиковой, поскольку многие применяют УРВП чуть ли не в упор.